话说哺光仪

  前不久,有一位“网红”眼科医生在他的个人微信公众号中晒出了“女儿的哺光仪试用报告”,立刻引来众多围观。一些家长纷纷在视库平台留言,询问自家孩子能不能使用哺光仪,有没有效果,有没有风险。

  今天,就来和大家聊聊哺光仪。

图片

  严格意义上说,“哺光仪”并不是一项发明而是一个发现。

  它最早是用于弱视治疗的“红光仪”,其原理是:黄斑中心凹仅有视锥细胞,视锥细胞对红光敏感,而周边的视杆细胞对红光则不敏感;因此,通过红光和闪烁的模式,刺激黄斑中心凹处的锥体细胞发育,提高视力,并可迫使黄斑中心凹进行注视,从而抑制旁中心注视点。

图片

  2014年,有企业提出该设备具有控制眼轴增长、减缓近视加深的功效,从而变身成为“哺光仪”。

  那么,哺光仪控制近视有理论依据吗?

图片

  整个眼科学届对于近视眼的发病机制目前仍然不是十分的清楚,但也从未停止对其的探索。近视眼在动物身上的复制,让人们对近视的发生、发展及转归有了更进一步的认识。

  至今为止,已经在鱼、小鸡、豚鼠、灵长类动物身上用不同的方法复制出了近视眼,并产生了形觉剥夺和光学离焦两个对于近视形成机制的解释。

图片

  我们知道,视觉的三大部分:光觉、形觉和色觉,前两者都成功的搭建出了近视眼模型;所以有很多人开始探讨色觉在眼球发育过程中的作用,用单色光去尝试复制近视眼模型。

  为此,查到了两项相关研究结果:

  在一项研究中(陈蜜朵,不同波长单色光及其组合对豚鼠屈光发育的影响),分别使用白光、蓝光、绿光、红光、蓝+绿光、蓝+红光、绿+红光、蓝+绿+红光8组不同的光对豚鼠照射。

  12周后,总体屈光度:红光<0<绿红≈绿光<蓝绿光≈蓝绿红光≈白光<蓝红光<蓝光。红光组在第二周便出现近视化;眼轴和屈光度表现出高度一致性。

图片


  在另一项关于恒河猴的实验中(刘睿,单色光对豚鼠和恒河猴眼屈光发育及光谱敏感性作用的研究),分别用波长455nm蓝光和610nm红光(都是单色光)进行为期16周的实验,分别在2、4、6、8、10、12、16周重复测量相关眼部参数(屈光度、角膜曲率、眼轴个部分长度等)。

  第16周时,红光照射组屈光度平均下降-2.05D,白光组平均下降-0.73D。也就是说,和白光组相比16周的时间红光组恒河猴近视-1.25D,蓝光组和白光组屈光度各时间点无明显差异。

  从上述研究,我们可以推导出这样的结论:红光可以诱导屈光度数和眼轴的改变,加速屈光向近视化发展。

  事实上,红光治疗仪适用于远视性弱视,在治疗弱视的同时,刺激眼轴的增长,达到加速远视减少,这是一箭双雕的;但对于近视性弱视,不宜做红光刺激。

图片

  这里,我们做个比喻:如果说单色光对屈光度的影响是从物理的角度进行研究,那么,哺光仪的原理则是化学的角度。

  这还要从多巴胺说起:多巴胺是一种神经递质,神经递质是在神经元、神经和体内其他细胞之间传递紧急信息的化学物质。

图片

图片|多巴胺分子结构

  关于近视的研究显示,户外活动对于近视的预防和控制有一定作用,而户外活动的关键在于“户外”而非“活动”,有学者认为,充足的户外阳光,可以刺激视网膜释放多巴胺,多巴胺能够抑制眼轴的增长,有效预防和控制近视。

  而哺光仪之所以可以控制近视,也可能与多巴胺有关。

  在2020年9月召开的"第二十届国际眼科学学术会议"上,中山眼科医院、中国中华医学会屈光学组副组长曾骏文教授做了《儿童青少年近视防控新思路》的学术报告,其中重点阐述了“光学干预“对于青少年近视进展的作用。

图片

  曾教授经过3个月随访,得出如下初步结果:

  治疗组和对照组,基线特征一致;

  平均眼轴进展停止、等效球镜进展停止、脉络膜变厚;

  一个月出现可测量眼轴缩短0.06-0.1左右。

  对于哺光仪控制近视的机理,目前的理论假说是:

 

  精准模拟太阳光有益光线,改善眼底血液循环,促进视网膜色素上皮细胞分泌多巴胺,使变薄的脉络膜恢复正常,同时供给巩膜足够的氧,抑制眼轴非正常增长,实现对近视的有效防控。

  也就是说,前文提到的红光会诱导近视,是指长时间红光照射;而哺光仪能控制眼轴长度,是每天两次、每次三至五分钟,用红光刺激视网膜色素上皮细胞分泌多巴胺;两者的机理有巨大差异。

图片

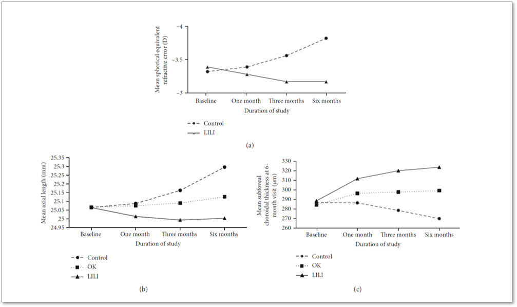
  2021年,南昌大学附属眼科医院发表了《角膜塑形术和低强度激光治疗减缓儿童近视的进展》的临床研究报告,这是首篇发表的与哺光仪相关的SCI文献。

图片

  该研究将200多个孩子随机分为三组,对照组(戴普通框架眼镜)、角膜塑形镜组和哺光仪组,观察6个月孩子眼轴和近视屈光度的变化情况。

 

  研究得出以下结论:

  控制眼轴效果:哺光仪>角膜塑形镜>普通眼镜;

  眼轴越长,缩短效果越好;

  年龄越大,缩短效果越好。

图片

图片| (a)近视屈光度变化; (b)可测量眼轴长度变化; (c)脉络膜厚度变化

图释| Control为普通框架眼镜组 ; OK为角膜塑形镜组; LILT为低强度激光治疗(Low-Intensity Laser Therapy)

图片

  我们再打个比方:如果你穿着袜子测量身高,测出来的数值其实=身高+袜子的厚度,那么如果袜子变厚了,你可以说自己长高了吗?反之亦然。

  哺光仪可以“缩短”眼轴,其实也是这么一回事:

  我们的眼轴是指角膜前表面与巩膜之间的距离。而实际测量中,因为巩膜是不透明的,所以测量得出的眼轴长度(AL)指的是角膜前表面到视网膜色素上皮层之间的距离。

图片

  当色素上皮层后面的脉络膜增厚时,会把色素上皮层向前推移,此时测量的眼轴就会偏短。

图片

  因此,更规范的表述是:使用哺光仪可以引起脉络膜增厚从而降低可测量眼轴的测量数值。但从另一个角度看,哺光仪对眼轴的控制效果是得到了临床验证的。

图片

  俗话说:是药三分毒,激光照射人眼会不会引起伤害呢?

  的确,能量高度集中的激光光束有可能对人体造成损害,如眼睛或皮肤;所以,国际电子技术委员会IEC和美国食品及药品管理局FDA对激光设备的安全性,按其激光输出值的大小进行了分类。

图片

  FDA标准将激光设备分为六个等级,其中第I类激光没有任何生物性危害,第II类激光产品输出功率小于1毫瓦,对人眼不会造成伤害,但如果超出这个数值,有可能对眼睛造成致盲以及其他损伤。目前市面上售卖的各类哺光仪中,有一些使用I类激光,功率低于0.4毫瓦,也有些使用II类激光,相对而言前者更安全。

  至于脉络膜增厚对眼健康而言究竟是福是祸?长期使用哺光仪是否存在健康风险?这些都有待眼科学界通过大样本、长时间的临床研究来证实。

  综上所述,我们可以得出以下结论:

  临床数据显示,低强度激光治疗能够有助于控制眼轴长度,促使脉络膜增厚;

  650纳米红光控制眼轴长度的机理可能和视网膜色素上皮细胞分泌多巴胺有关;

  在使用前,必须要进行全面的眼部健康检查,排除部分禁忌症;

  长期使用哺光仪是否存在风险,还需要进一步的临床研究。

  因此,对于哺光仪以及其他各种有可能对近视防控产生积极作用的科学手段和技术,我们都应保持开放的立场和严谨的态度,不盲从也不拘泥。